鸡病专业网论坛

 找回密码
 立即注册

QQ登录

只需一步,快速开始

查看: 104|回复: 0
收起左侧

为什么死大闸蟹不能吃,我亲手上锅蒸死的就能吃?

[复制链接]

鸡网学院博士生

Rank: 8Rank: 8

来自
江苏省苏州市
发表于 2025-11-17 14:30:00 | 显示全部楼层 |阅读模式 来自: 中国河南郑州

马上注册,结交更多好友,享用更多功能,让你轻松玩转社区。

您需要 登录 才可以下载或查看,没有账号?立即注册

x
又到了吃大闸蟹的季节。大闸蟹确实好吃,但有个传言如雷贯耳:千万别吃死的大闸蟹,否则死的就不只是大闸蟹了!

先不说有没有人生啃大闸蟹,就一个灵魂发问:我亲手上锅蒸死的大闸蟹,算不算死蟹?到底能吃不能?

自死和他杀的大闸蟹,哪个毒?

开篇明义一下,死了一阵的大闸蟹确实不适合再拿来蒸了吃。

首先,活蟹细菌就多,死后细菌更更更多。

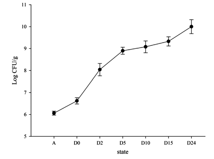
在 2020 年的一项研究中,实验人员分别检测了活大闸蟹、刚死的大闸蟹、死了 2 小时的大闸蟹、死了 5 小时的大闸蟹、死了 10 小时的大闸蟹、死了 15 小时的大闸蟹与死了 24 小时的大闸蟹中的总菌落数。

结果发现,哪怕是活大闸蟹,身上的菌落数就比雪蟹、蓝蟹等海蟹多约 3600 倍。其原因是大闸蟹生活在细菌更喜欢的淡水里,而且大闸蟹身上的绒毛、缝隙也多,更容易长细菌。

而大闸蟹死后,本就生活在蟹上的大量细菌脱离了免疫系统的压制,开始借着大闸蟹里的蛋白质、脂肪、淡水等资源疯狂繁殖。这些细菌有的能产生耐热的毒素,有的能和酶一起分解蛋白质产生耐热有毒的组胺,蒸熟了也无济于事。

10.png
大闸蟹存活时及死后菌落数变化,横轴单位为小时,A代表活大闸蟹丨Wang et al。 (2020)

从上图也能看出,我们亲手蒸死的大闸蟹还好,而不知何时嘎掉的大闸蟹,细菌数量已经翻了很多倍了。

此外,就算经过了杀菌,死掉的大闸蟹也让人难以下嘴。

一方面,死掉的大闸蟹蒸熟后蟹黄蟹肉水分流失,都不太新鲜了,没啥吃头;

另一方面,因为水分多、蛋白质多,死掉的大闸蟹会迅速腐败,产生有毒的组胺,以及尸胺、腐胺——它们虽然毒性不算强,但看名字就能想象味道了。

怕大闸蟹都死了,难道要一次全吃完?

理论归理论,实际生活中我们面临另一个问题。

过节的时候经常收到十几只装的大闸蟹礼盒。放着慢慢吃吧,螃蟹死了只能丢掉,太浪费;一锅全蒸了吃吧,实在没有花几个小时掏黄抠肉的雅兴。

彻底蒸熟了放冰箱慢慢吃,行吗?行!

如果放冷藏的话,记得蒸熟后尽快用保鲜膜、保鲜盒装起来放冰箱。为了安全和口感口味,吃的时候最好再上锅蒸一次,并且在一天内吃完。

如果蒸熟了放冷冻,唔,理论上可以,但冷冻过的熟大闸蟹不好吃,蟹肉被冰晶破坏,吃起来口感发绵,珍贵的蟹黄蟹膏富含油脂,在冷冻环境下也会慢慢氧化,冻得越久越容易有苦味哈喇味。

多说一嘴。超市里有很多冻螃蟹,所以可能有人会想把一时吃不完的活螃蟹也直接冻起来——这可不行啊!

一来,冷冻没法杀菌,因此超市里卖的冻蟹大多数海蟹,而不是细菌更多的大闸蟹等淡水蟹(而且拿出来又解冻的话,细菌又会繁殖起来);

二来,超市冻蟹是经过商业速冻的,冷冻过程更快、温度更低,才能让螃蟹更安全和好吃,家用冰箱可做不到这点;

三来,大闸蟹体内的酶活性比海蟹高,直接活冻也能保持部分活性,并持续分解冻死螃蟹的肉,然后产生难吃甚至有毒的生物胺。

那……吃不完的养起来?

收到大闸蟹礼盒,除了一顿吃完、一天吃完,还有个法子,活活冷藏。

浙江省农业科学院的一项研究显示,让大闸蟹缓缓冷却到 7 摄氏度左右保存,能够让它们存活长达 10 天。家里冰箱的冷藏温度一般是 2 摄氏度到 4 摄氏度,给大闸蟹裹上湿纸巾保湿再冷藏,也许也能让它们活得久一些,减少浪费。

但在这个过程中一定注意把活大闸蟹和冰箱里其他食物分开放,尤其是熟食。为啥?复述一遍本文的核心知识点:大闸蟹细菌真的很多啊!

来源丨果壳(id:Guokr42)

回复

使用道具 举报

您需要登录后才可以回帖 登录 | 立即注册

本版积分规则

手机版|Archiver|鸡病专业网 ( 豫ICP备11024133号-2 )

GMT+8, 2025-12-18 13:20 , Processed in 0.206464 second(s), 29 queries .

快速回复 返回顶部 返回列表