鸡病专业网论坛

 找回密码
 立即注册

QQ登录

只需一步,快速开始

查看: 2100|回复: 0
收起左侧

[转载/分享] 肉鸡饲料代谢能测定重大发现:饥饿饲喂法与自由采食法无显著差异,但前者精准度更高!

[复制链接]

荣誉版主

奉献是美德。

Rank: 17Rank: 17Rank: 17Rank: 17Rank: 17

优秀会员奖添砖加瓦奖常驻居民奖社区居民社区明星忠实会员

来自
河南省郑州市
发表于 2025-11-7 17:00:00 | 显示全部楼层 |阅读模式 来自: 中国河南

马上注册,结交更多好友,享用更多功能,让你轻松玩转社区。

您需要 登录 才可以下载或查看,没有账号?立即注册

x
qw1.jpg

养殖成本降低的关键突破口,藏在饲喂方式的选择里

饲料能量占肉鸡生产成本的42%左右,准确测定饲料代谢能(ME)对高效养殖至关重要。传统测定方法存在争议:是让鸡饥饿-饲喂-饥饿更好,还是让它们自由采食更科学?

中国农业科学院动物科学研究所的最新研究给出了明确答案,这项发表在《Animal》期刊的研究成果可能改变养殖场的饲喂策略。

两种饲喂方式的科学对决
研究团队设计了精细的实验:将120只21日龄的 Arbor Acres 公雏随机分为6组,采用2×3因子设计。两种饲喂程序:
  • SFS程序(饥饿-饲喂-饥饿):禁食17小时清空消化道→自由采食55小时→再次禁食17小时
  • ALF程序(自由采食):连续72小时自由采食

三种日粮:玉米-豆粕型基础日粮、小麦日粮和棉籽粕日粮。

结果发现:从22到28日龄,SFS程序组的肉鸡体重下降,而ALF程序组体重增加。与ALF相比,SFS组的最终体重、平均日增重(ADG)、平均日采食量(ADFI)和排泄物输出量均较低(P<0.01)。

颠覆认知的核心发现


最令人意外的结果是:
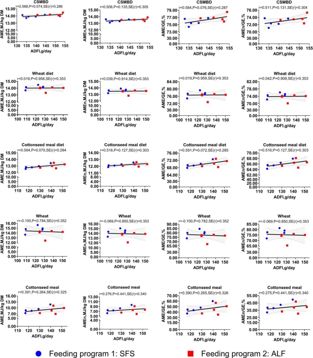
饲喂程序并不影响任何测试日粮或原料的代谢能值。也就是说,两种方法测得的代谢能值没有显著差异。

但进一步分析发现了重要区别:SFS程序测量的采食量与生长的回归关系R2值更高,表明数据更精确可靠。

qw2.jpg

为什么精准度很重要?
对于生长中的肉鸡,日增重与代谢能(ME)和代谢粗蛋白(MCP)的摄入量呈正相关。营养摄入量测量得越精确,其与日增重的相关性就越强。

本研究中,SFS程序下ADG对ME和MCP摄入量的回归R?值高于ALF程序,表明SFS程序能更精确地测定ME摄入量。

实际应用建议
  • 精度优先选SFS:当需要减少方差、提高数据精确度时,SFS程序更为优越
  • 福利优先选ALF:当动物福利考虑优先时,ALF程序仍然适用
  • 体重不影响结果:研究证实,相同日龄肉鸡的体重不影响代谢能测定,消除了这一传统顾虑


行业意义深远

该研究解决了畜禽营养学中的一个长期争议,为饲料代谢能测定提供了明确指导。特别是在当前饲料价格高企的背景下,准确评估饲料代谢能可以帮助养殖场节约大量成本。

研究人员还采用了一项技术创新:使用固定在笼子中的平衡传感器自动记录体重,实现了实时体重监测,这为提高测量精度提供了技术保障。

结语
这项研究告诉我们,科学养殖不仅在于提供什么饲料,还在于如何准确评估饲料价值。精准的营养测量是实现高效养殖的基础,而选择合适的饲喂程序可能是提升养殖效益的关键一步。

对于肉鸡养殖者来说,这项研究意味着:根据你的优先目标(精度还是动物福利),可以选择最适合的饲喂评估方法,从而更精准地配制日粮,降低成本提高效益。

来源:预混料家园,作者:于炳欣、周恩库
回复

使用道具 举报

您需要登录后才可以回帖 登录 | 立即注册

本版积分规则

手机版|Archiver|鸡病专业网 ( 豫ICP备11024133号-2 )

GMT+8, 2025-12-22 09:19 , Processed in 0.551593 second(s), 36 queries .

快速回复 返回顶部 返回列表